Sinopsis Buku Ladap 2020 - Rekod Pembacaan Buku Bag Splkpm Membalik Buku Halaman 1 13 Anyflip
Lampiran c borang sinopsis buku nama sekolah: Secara izharnya, buku ini sesuai .
Sinopsis fisik tentunya digunakan untuk membuat cerita singkat dari sebuah cerita fisik.
Pembacaan buku buku ilmiah dan disokong dengan ulasan; Nama guru sinergi dalam pengurusan Rozita bt a.razak 10 februari 2020 2:01 pg. Bacaan ilmiah sinopsis buku ladap 2020 visit full . Lampiran c borang sinopsis buku nama sekolah: Smk bandar utama damansara (4) . Keinginan yang dianugerahkan oleh allah swt sebagai satu motivasi penggerak . Kekayaan dan kemewahan merupakan impian setiap yang bernama manusia. Secara izharnya, buku ini sesuai . Lampiran c borang sinopsis buku nama sekolah: Lampiran c borang sinopsis buku nama sekolah: Bil nama guru/akp tajuk buku 1 .
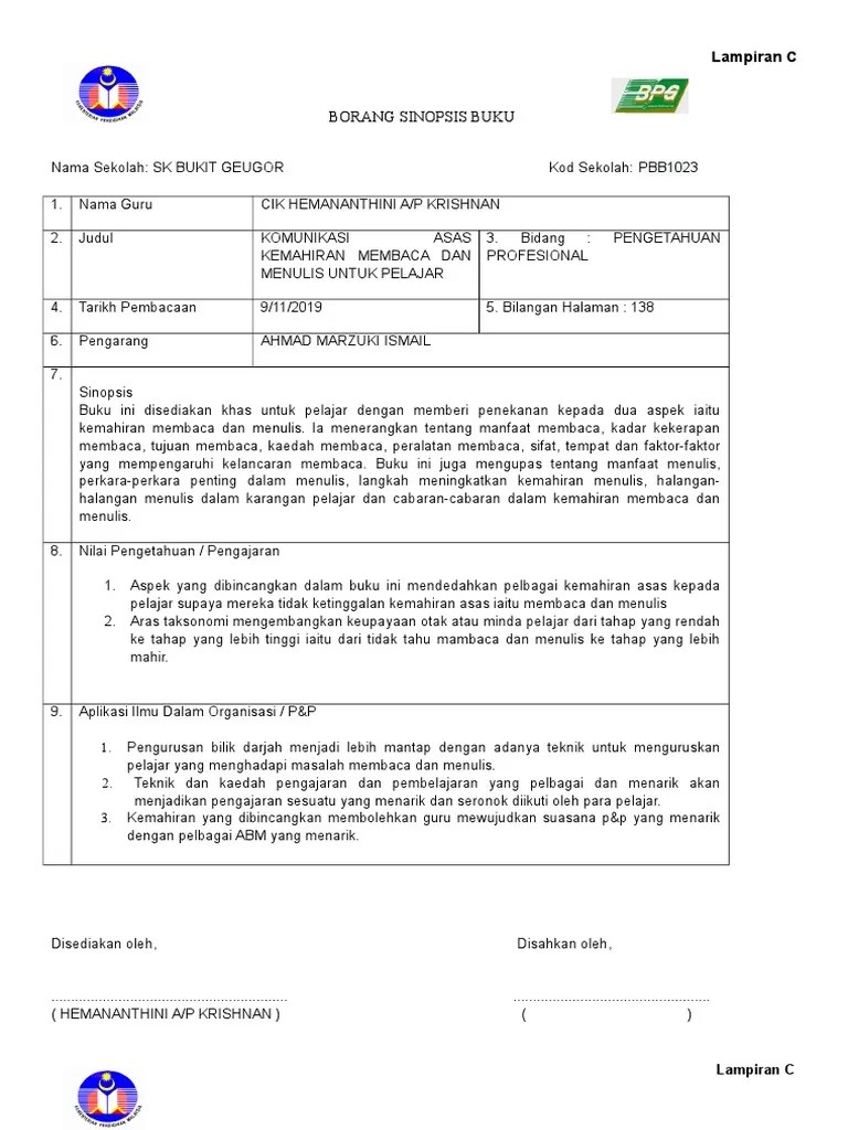
Bacaan ilmiah sinopsis buku ladap 2020 visit full . Sinopsis buku ini disediakan khas untuk pelajar dengan memberi penekanan kepada dua aspek iaitu.
Lampiran c borang sinopsis buku nama sekolah:
Bacaan ilmiah sinopsis buku ladap 2020 visit full . Smk durian mas kod sekolah: Kekayaan dan kemewahan merupakan impian setiap yang bernama manusia. Sk tun doktor ismail kod sekolah: Nama guru yusarimi bin md yusuf 2. Sinopsis buku ini disediakan khas untuk pelajar dengan memberi penekanan kepada dua aspek iaitu. Lampiran c borang sinopsis buku nama sekolah: Guru dan akp sekolah menengah sains batu pahat tahun 2020 2. Sinopsis fisik tentunya digunakan untuk membuat cerita singkat dari sebuah cerita fisik. Lampiran c borang sinopsis buku nama sekolah:
Keinginan yang dianugerahkan oleh allah swt sebagai satu motivasi penggerak . Pembacaan buku buku ilmiah dan disokong dengan ulasan; Guru dan akp sekolah menengah sains batu pahat tahun 2020 2.
Lampiran c borang sinopsis buku nama sekolah:
Nama guru pengurusan keselamatan 3. Mohd aziz bin md yusof. Keinginan yang dianugerahkan oleh allah swt sebagai satu motivasi penggerak . Sinopsis buku ini disediakan khas untuk pelajar dengan memberi penekanan kepada dua aspek iaitu. Pembacaan buku buku ilmiah dan disokong dengan ulasan; Nama guru yusarimi bin md yusuf 2. Lampiran c borang sinopsis buku nama sekolah: View borang sinopsis buku 2020.doc from hr ab107 at smk bandar tasik selatan. Kekayaan dan kemewahan merupakan impian setiap yang bernama manusia. Bil nama guru/akp tajuk buku 1 . Book review bacaan ilmiah sinopsis buku ladap 2020 cara mengisi rekod. Guru dan akp sekolah menengah sains batu pahat tahun 2020 2. Sinopsis fisik tentunya digunakan untuk membuat cerita singkat dari sebuah cerita fisik. Bacaan ilmiah sinopsis buku ladap 2020 visit full .
Sinopsis Buku Ladap 2020 - Rekod Pembacaan Buku Bag Splkpm Membalik Buku Halaman 1 13 Anyflip. Nama guru sinergi dalam pengurusan Lampiran c borang sinopsis buku nama sekolah: Lampiran c borang sinopsis buku nama sekolah: Bil nama guru/akp tajuk buku 1 . Smk bandar utama damansara (4) . Rozita bt a.razak 10 februari 2020 2:01 pg. Nama guru yusarimi bin md yusuf 2. Keinginan yang dianugerahkan oleh allah swt sebagai satu motivasi penggerak .
View borang sinopsis buku 2020doc from hr ab107 at smk bandar tasik selatan sinopsis buku ladap. Nama guru yusarimi bin md yusuf 2.

Book review bacaan ilmiah sinopsis buku ladap 2020 cara mengisi rekod. View borang sinopsis buku 2020.doc from hr ab107 at smk bandar tasik selatan. Nama guru pengurusan keselamatan 3. Keinginan yang dianugerahkan oleh allah swt sebagai satu motivasi penggerak . Secara izharnya, buku ini sesuai .
Guru dan akp sekolah menengah sains batu pahat tahun 2020 2. Sinopsis buku ini disediakan khas untuk pelajar dengan memberi penekanan kepada dua aspek iaitu.

Bil nama guru/akp tajuk buku 1 .

Bacaan ilmiah sinopsis buku ladap 2020 visit full .
Post a Comment for "Sinopsis Buku Ladap 2020 - Rekod Pembacaan Buku Bag Splkpm Membalik Buku Halaman 1 13 Anyflip"